Experiment results

General

Data from the experiment was collected in two formats. The first was the quantitative scores provided by the participants on their perceived workload TLX scores. The second was the qualitative recordings of each participant’s experience and their responses to requests for commentary throughout the trial. These were recorded and transcribed at key points during the contact between participants and the kerbs.

This section describes the results for the TLX scores overall and then isolates the scores for the highest scoring subscales, physical and mental workload, to show their impact on the overall scores. Each kerb profile is then presented individually, with the TLX workload scores shown graphically and the qualitative results presented with photos of participants and quotes from their commentary.

The analysis of the combined qualitative and quantitative results overall is presented in Section 4.

Section 5 discusses the results in conjunction with the key findings from the previous phases of this research project.

Task Load Index Results

Unweighted General Comments

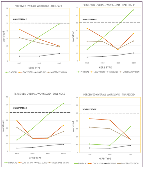
Figure 3‑1 below, shows the average unweighted perceived workload scores for the four kerb profiles at the upstand heights tested by each participant group. As the scores for both the Low Physical and Moderate Physical groups were similar, they have been combined into one ‘Physical’ group for the purpose of reporting the results. A dashed line on each profile indicates the 50 mark on the workload score, after which point it could be considered High difficulty (Table 3‑1).

From the graphs, and the scores presented in

Table 3‑3, it can generally be seen that for the participants in the Physical and Baseline control groups the unweighted perceived workload increases comparative to the height of the kerb for all kerb types and upstands.

Conversely, the perceived workload for the participants in the Low Vision and Moderate Vision groups were mixed. The perceived workload scores decreased as the kerb heights increased towards the 50mm or 60mm kerb upstand but the 100mm kerb height had a higher perceived workload.

The results show the common hypothesis that the Physical and Vision groups have opposing reactions to the kerb upstands as discussed in the Phase 3 report.

Table 3‑2 shows that the Physical group rated 57% of the kerb types trialled as requiring either an Intermediate (43%) or High workload (14%). The High workload scores relate to the two 100mm high kerbs that were assessed. The lower kerb heights were rated as requiring the lowest workload overall by the Physical group (Low and Medium workloads).

The Low Vision group rated 57% of the kerb types as requiring an Intermediate workload with the remainder rated as Medium workload. The Moderate Vision group only rated 29% of all kerb profiles as requiring an Intermediate workload with the rest rated as Medium Workload. No kerb profiles were rated as requiring a High workload by either of the Vision groups.

Table 3 1: Perceived workload score categories
Category Workload
Low 0-9
Medium 10-29
Intermediate 30-49
High 50-79
Table 3 2: Percentage of perceived workload scores by category and participant group
CATEGORY PHYSICAL LOW VISION MODERATE VISION BASELINE
Low 7% 0% 0% 86%
Medium 36% 43% 71% 14%
Intermediate 43% 57% 29% 0%
High 14% 0% 0% 0%
Figure 3 1: Overall perceived workload TLX rating results, as described in text above
Figure 3 1: Overall perceived workload TLX rating results
Table 3 3: Unweighted overall perceived workload TLX ratings by participant group and kerb type (for colour code and category range see Table 3 1)
Kerb PHYSICAL LOW VISION MODERATE VISION BASELINE
FB25 14 42 31 7
FB50 33 29 24 7
FB60 49 20 19 10
HB25 15 43 26 5
HB50 31 31 25 6
HB60 48 15 16 8
HB100 67 36 26 10
BN25 15 40 31 4
BN50 29 17 17 5
BN60 47 17 17 8
BN100 62 34 25 9
CS20 11 43 32 6
CS25 9 41 30 5
CS50 33 17 17 9

Factor Isolated Results

Physical Workload Ratings

The physical workload scores on the NASA TLX assessment were the highest rated scores overall. The diagrams in Figure 3‑2 shows the perceived workload scores for the physical workload subscale only.

Similar to the overall workload, the results show the increase in perceived workload as the kerb heights increase for the Physical group. For the Low and Moderate Vision groups, a similar pattern was also observed where the physical workload decreases as the kerb heights increase towards 50mm and 60mm but increases again for the 100mm kerb heights. This suggests that most of the overall perceived workload was attributed to physical workload.

Figure 3 2: Isolated perceived physical workload TLX rating results, as described in text above
Figure 3 2: Isolated perceived physical workload TLX rating results

Mental Workload Ratings

The mental workload scores on the NASA TLX assessment were the second highest rated scores overall. The diagrams in Figure 3‑3 shows the perceived workload scores for the mental workload subscale only.

For the Physical capability group, the results also show an increase in mental workload as the kerb heights increase, showing there is a connection between physical and mental workload.

For the Low and Moderate Vision groups the mental workload was higher with lower kerbs showing the effort required to detect the kerb. Most of the mental workload overall was driven by the kerb shape with the Bull-Nose kerb shape requiring less mental workload to detect.

Figure 3 3: Isolated perceived mental workload TLX rating results , as described in text above
Figure 3 3: Isolated perceived mental workload TLX rating results

TLX Results Comments

Overall, for the Physical group both physical and mental workload increased as the kerb height increased. This reflects the increased effort required by the participants to cross the kerb as it gets higher. For the lower kerb heights overall perceived workload scores were reported below 20 (Medium workload) and increased to over 50 (High workload) for the 100mm kerbs.

Both the Low Vision and Moderate Vision groups reported higher workload scores when detecting the 20 and 25mm kerbs. All workload scores were between 30 – 43 (Intermediate workload) except for the Half-Batter 25mm kerb which the Moderate Vision group reported a lower overall workload score to detect of 26 (Medium workload). These groups included all methods of detection including, guide dog, cane, and sight. These groups reported mainly Medium workload scores for the 50mm and 60mm kerb heights, finding these the least effortful to detect. However, at the 100mm kerb heights the physical effort of crossing the kerb overtook the difficultly of detection and the workload increased for both groups.

The Physical group had a preference for the 20mm and 25mm kerb heights. All kerb types were scored very similarly at these heights with slightly lower workload scores for the Cycle Segregation kerb. They also gave similar workload scores for the 50mm and 60mm kerb heights with little difference across the different kerb heights.

The Low and Moderate Vision groups had a preference for the 50mm and 60mm kerb heights. At the 50mm height the Bull-Nose and Cycle Segregation kerb types had the lowest reported workload scores compared to the other kerb types. At the 60mm height these groups reported lower workload scores for the Half-Batter kerb compared to the other kerb types.

The majority of results from all groups were in the Medium (10 – 29) and Intermediate (30 – 49) workload categories.

The results have been isolated for physical and mental workload as they were the two prevalent factors in this experiment. The physical workload scores appear to have a higher effect upon the overall workload scores which suggests that this is the main factor influencing overall workload and effort.

Full-Batter Kerb

General

A standard Full-Batter Kerb is 255m tall by 125mm in either solid stone or concrete with a 45-degrees splay. The full height of the kerb is not used as the upstand, only the exposed top 25mm – 60mm. The remaining height is beneath the surface and does not influence the experience of traversing the kerb.

TLX Results

From Table 3‑4 it can be seen that the Physical group found the increasing kerb upstand height difficult, with overall perceived workload scores raising from 14 (Medium) to 49 (Intermediate). The 100mm kerb height was not assessed for this kerb profile as it was already scored as requiring a high workload for the other kerb profiles.

In contrast the Low Vision group (cane and guide-dog) found the increasing kerb upstand height easier to detect, decreasing their overall workload from 42 to 20 as the kerb upstand increased.

The Moderate Vision capability group (retinal and macular degeneration) also found the increasing kerb height easier to detect and reported a lower workload than the Low Vision group, decreasing from 31 to 19 as the kerb heights increased from 25mm to 60mm.

The baseline control group reported low workload scores for the 25mm and 50mm kerb heights with a slight increase in workload for the 60mm upstand.

Table 3 4: Full-Batter kerb profile overall perceived workload TLX ratings
Kerb PHYSICAL LOW VISION MODERATE VISION BASELINE
FB25 14 42 31 7
FB50 33 29 24 7
FB60 49 20 19 10
Figure 3 5: Full-Batter kerb overall perceived workload TLX rating results, as described in text above
Figure 3 5: Full-Batter kerb overall perceived workload TLX rating results

Qualitative Findings

Vision Group

Participant K3 (Low Vision) noted that the Full-Batter kerb profile at the 25mm upstand was detectable with their trained guide dog.

As the upstand height increased the dog became more confident in its detection. Participant K3 noted that the 50mm upstand height was better and more detectable than the 25mm.

They also noted that the 50mm upstand was more detectable with the cane, but that the chamfered profile caused the ball to slide, reducing the ease of detection. Participant K3 stated:

The step is easier but what makes it harder is …see it gets caught in the gutter…”

Participant K12 (Low Vision) reported that both they and their guide dog could easily detect the 60mm kerb.

Physical Group

Participant K18 (Moderate Physical, cane) and Participant K5 (Low Physical, wheelchair) both stated that the 25mm upstand was easy for them to cross.

However, higher kerb upstand heights proved problematic. Participant K5 was unable to traverse the 50mm kerb upstand, and stated they would not attempt it on their own. They also noted that they would not attempt either the 50mm or 60mm Full-Batter kerb profile with or without the third wheel attached to their chair, even with safety staff present:

“…I wouldn’t attempt it… it’s too high.”

Participant K3 (Low Physical, wheelchair) was also unable to traverse the 60mm upstand due to its height.

Participant K18 noted that the higher the height of this kerb, the lower the effectiveness of the slope. As such, they preferred the lower height 25mm. As the height of the kerb goes beyond a certain point the chamfer was found not to be useful for this user.

Analysis

Both the quantitative workload scores and qualitative statements from participants suggest that the 25mm kerb height was detectable by all participants. However, the mental workload for the Vision groups at this kerb height was higher than the mental and physical workload for the Physical group as it was harder to detect the kerb.

As the kerb height increases to 50mm and 60mm, the Physical groups reported a higher workload than the Vision groups. Both the Low and High Vision groups found it easier to find and traverse the kerb whereas the Low Physical (wheelchair) group began to have difficultly traversing the kerb, with one participant unable to traverse the kerb at either 50mm or 60mm. The Moderate Physical participants also preferred the lower kerb heights.

From the Qualitative and graphic results (above) we can conclude from this that there is evidence that for the Low Visual and Moderate Visual groups that overall workload decreased as kerb height increased.

From the Qualitative and graphic results (above) we can conclude from this that there is evidence that for the Physical group that overall workload increased linearly as the kerb height increased. For wheelchair users in particular this was primarily driven by the users perception that there was a greater potential risk that they would topple, tip or that the movement would cause significant vibration and hence pain and discomfort. However, this perception seemed to be lesser for this kerb type when compared to both the Half-Batter and Bull-Nose kerb types shown in the graphs displaying mental workload in Figure 3‑3. The mental workload for Full-Batter kerbs was considerably lower than that of the Half-Batter due to the shallower slope associated with Full-Batter kerbs allowing an easier and smoother crossing than steeper kerb types.

Half-Batter Kerb

General

A standard Half-Battered Kerb is 255m tall by 125mm in solid stone or concrete with a 12.5-degrees splay, as show in Figure 3‑8. The full height of the kerb is not used as the upstand, only the exposed top 25mm – 100mm. The remaining height is beneath the surface and does not influence the experience of traversing the kerb.

TLX Results

From Figure 3‑9 and Table 3‑5 it can be seen that the Physical group found increasing kerb upstand height difficult, with overall perceived workload scores raising from 15 (Medium) to 67 (High). Between the 60mm and 100mm kerb the workload increased 40%.

In contrast the Low Vision group (cane and guide-dog) found the increasing kerb upstand height easier to detect, decreasing their overall workload from 43 to 15 between 25mm and 60mm. However, they also experienced an increase in workload of 58% up to 36 (Intermediate) when the upstand was set at 100mm.

The Moderate Vision group (retinal and macular degeneration) did not report over a Medium workload for any of the kerb heights. They found both the 25mm and 50mm upstands required a similar level of workload to detect (Medium workload of 26 and 25 respectively). Their reported workload decreased to 16 at 60mm finding it even easier to detect. The overall reported workload also increased for the 100mm kerb, however it was a similar level to the workload experienced for the 25 and 50mm kerb heights (26 Medium workload).

The baseline control group reported low workload scores for the 25mm, 50mm and 60mm kerb heights with a slight increase in workload for the 100mm upstand.

Table 3 5: Half-Batter kerb profile overall perceived workload TLX ratings
Kerb PHYSICAL LOW VISION MODERATE VISION BASELINE
HB25 15 43 26 5
HB50 31 31 25 6
HB60 48 15 16 8
HB100 67 36 26 10
Figure 3 9: Half-Batter kerb overall perceived workload TLX rating results, as described in text above
Figure 3 9: Half-Batter kerb overall perceived workload TLX rating results

Qualitative Findings

Vision Group

Participant K3 (Low Vision) stated both themselves and their guide dog were aware of the 25mm kerb upstand while ascending the kerb, but their guide dog was not aware of the kerb while descending:

"I'm aware of it and she's aware of it when stepping up but stepping down I don’t think she saw it. I did because I could feel it. It's easier to feel stepping up than stepping down."

Both the participant and the guide dog were aware of the kerb for upstands of 50mm and above in both directions.

Participant K3 also noted that the 25mm kerb upstand was much easier to detect with the cane than with the guide dog. Their awareness of the kerb was more pronounced with the cane, stating:

“with [their dog] I felt the kerb more but with cane stepping down is easier to feel”

Participant K12 (Moderate Vision, cane) found the 25mm kerb height easy to detect with their cane:

“… for me, personally, the height is good. I think the cane will catch it and its good”

Participant K3 also thought the 50mm was easily detectable, but the edge of the kerb was too smooth and may be more difficult to detect without a cane:

"The step height is good – easy to use - but with stick interestingly - the material is very smooth - but I do feel it - in the real world it’s very smooth…”

Physical Group

Participant K18 (Moderate Physical, cane), stated that they preferred the upstand height of 25mm.

Participant K5 (Low Physical, wheelchair) was not able to ascend or descend the Half-Batter kerb profile at 50mm upstand without the extended third wheel attached to their chair. Participant K5 states that:

“at 50mm height without the extended third wheel that [I feel that] I will fall over.”

"That’s fine with my wheel on”

“If I was on my own, I wouldn’t try – frightened that I would fall over- you need to come at it at speed - it makes me very nervous – it’s a confidence thing …”

Participant K5 was not able to traverse the 100mm kerb. They noted that 100mm was too high and can be frustrating, especially in residential areas due to the lack of controlled crossings. 

Participant E2 (Baseline, hearing) noted that 100mm was slightly too high to traverse comfortably. This is due to the perceived increase in workload to cross this kerb in both the upward and downward directions.

Analysis

Both the quantitative workload scores and qualitative statements from participants suggest that the 25mm kerb height was detectable by all participants. However, the mental workload for the Vision groups at this kerb height was higher than the mental and physical workload for the Physical group as it was harder to detect the kerb.

However, for this kerb profile, the guide dog was not aware of the kerb whilst descending off the kerb. In addition, it was noted it was much easier to detect the kerb at this height using the cane than with the guide dog.

As the kerb height increases to 50mm and 60mm, the Physical groups reported a higher workload than the Vision groups. The Vision groups found it easier to find and traverse the higher kerb heights whereas the Low Physical group (wheelchair) had difficulty traversing the kerb and required the third wheel to be fitted to their wheelchair. Even with the third wheel attached one participant was still unable to traverse the kerb.

In contrast, the Vision groups felt the 50mm kerb was a good height for them, although one participant noted the kerb was too smooth and may be difficult for a cane user to detect.

The Moderate Physical group (cane) considered 50mm a natural height for a kerb.

For all participants, including the baseline, the 100mm kerb was considered to be an undesirable increase in workload, taking it universally above a Medium score. The Half-Batter 100mm kerb type had the highest workload score for the Physical group across all kerb types tested. This kerb profile also scored slightly higher than the 100mm Bull-Nose kerb across all participant groups.

From the Qualitative and graphic results (above) we can conclude from this that there is evidence that for the Low Visual and Moderate Visual groups that overall workload decreased as kerb height increased up to a certain point where the workload again increased as the workload went from being about detecting the kerb to the physical effort of actually crossing it. For visually impaired participants the perceived workload varied dependant on the participants visual aid or capability i.e. cane, guide dog, or visual capability.

From the Qualitative and graphic results (above) we can conclude from this that there is evidence that for the Physical group that overall perceived workload increased linearly as the kerb height increased. However, it should be noted that the increase in workload was more pronounced for the Half-Batter kerb type compared to the Full-Batter. For wheelchair users in particular this was primarily driven by the users perception that there was a greater potential risk that they would topple, tip or that the movement would cause significant vibration and hence pain and discomfort. This corresponds to the data shown for mental workload in Figure 3‑3 for Half-Batter kerbs which is considerably higher than that of Full-Batter kerbs due to the steeper slope associated with Half-Batter kerbs preventing an easier and smoother crossing than shallower kerb types.

Bull-Nose Kerb

General

A standard Bull-Nose Kerb is a 150mm tall by 125mm wide solid stone or concrete block with a straight edge and no splay, as show in Figure 3‑13. The full height of the kerb is not used as the upstand, only the exposed top 25mm – 100mm. The remaining height is beneath the surface and does not influence the experience of traversing the kerb.

TLX Results

From Figure 3‑13 and Table 3‑6 it can be seen that the Physical group found the increasing kerb upstand height more effortful, with reported workload scores raising from 15 (Medium) to 62 (High). Between the 60mm and 100mm high kerbs reported workload increased by 32%.

In contrast, the Low Vision group (cane and guide-dog) found the increasing kerb upstand height easier to traverse, with reported workload decreasing from 40 (Intermediate) to 17 (Medium) as the kerb upstand increased from 25mm to 50mm. There was no change in reported workload between the 50mm and 60mm kerb heights. However, they reported a higher workload of 34 (Intermediate) when the upstand was set at 100mm.

Similarly, the Moderate Vision group (retinal and macular degeneration) reported an Intermediate level of workload for the 25mm high kerb but not as high as the Low Vision group (31). They also reported a Medium workload of 17 for both the 50mm and 60mm kerb heights and a slight increase in workload for the 100mm kerb (25).

The baseline control group reported low workload for all kerb heights.

Table 3 6: Bull-Nose kerb profile overall perceived workload TLX ratings
Kerb PHYSICAL LOW VISION MODERATE VISION BASELINE
BN25 15 40 31 4
BN50 29 17 17 5
BN60 47 17 17 8
BN100 62 34 25 9
Figure 3 13: Bull-Nose kerb overall perceived workload TLX rating results, as described in text above
Figure 3 13: Bull-Nose kerb overall perceived workload TLX rating results

Qualitative Findings

Vision Group

Participant K2 (Low Vision, cane) noted that he was able to detect the 25mm kerb upstand but stated: “it is low”.

Participant K2 noted that the 50mm kerb upstand was more detectable than the 25mm upstand. Although they also detected the 60mm kerb upstand their preference was for the 50mm due their perception that it required less overall workload to traverse. They further noted that they felt the 100mm was too high.

Physical Group

Participant K5 (Low Physical, wheelchair) stated:

“It [25mm] was easy and straightforward”

They were able to traverse the kerb without extending the third wheel at the 25mm kerb upstand height without stress or frustration.

Participant K5 was unable to traverse up and down the Bull-Nosed kerb at 50mm without the extended third wheel. They were unable to traverse the 60mm with or without the third wheel attached to their chair and they would not attempt the 100mm.

Participant K5 (Low Physical, wheelchair) attempted the 100mm, but acknowledged it was a hazardous movement which would need the right conditions and timing to make the movement possible, stating:

“it's possible... I can't reliably do it. I failed doing it dynamically once and I managed the second time. It's all a question of… you've got to get the right timing…”

“I would actively look for a drop kerb rather than doing this”

Analysis

From the TLX and Qualitative results it can be seen that the 25mm kerb was detectable by all participants, however, the mental workload for the Vision groups was higher than the mental and physical workload for the Physical group.

However, for this kerb profile, the guide dog was not aware of the kerb while coming down. In addition, it was noted it was much easier to detect the kerb at this height using the cane than with the guide dog.

As the kerbs increase to 50mm, however, more workload was required by the Physical group than the Low and Moderate Vision groups. At this point the Low and Moderate Vision groups found it easier to find and traverse the kerb whereas the Low Physical (wheelchair) group began to have difficulty traversing the kerb and required the third wheel to be fitted to their wheelchair to traverse it.

The Bull-Nose kerb had the lowest reported workload scores at the 50mm height than any other kerb type.

At 60mm the ability for Low Physical users to traverse the kerb reduced considerably with one participant unable to traverse the kerb even with the third wheel attached to their chair.

For all participants, including the baseline, the 100mm kerb was considered to be an undesirable increase in workload. However, it scored marginally lower than the Half-Batter kerb at the same hight.

For the Low Physical (wheelchair) users, inside safe controlled laboratory conditions, 100mm was a near impossible height to cross.

From the Qualitative and graphic results (above) we can conclude from this that there is evidence that for the Low Visual and Moderate Visual groups that overall workload decreased as kerb height increased from the 25mm to the 50mm upstand. The workload remained relatively constant between 50mm and 60mm upstand before the workload again increased as the difficulty went from being about detecting the kerb to the physical effort of actually crossing it at 100mm. For visually impaired participants the workload varied dependant on the participants visual aid or capability i.e. cane, guide dog, or visual capability.

From the Qualitative and graphic results (above) we can conclude from this that there is evidence that for the Physical group that overall workload increased linearly as the kerb height increased. However, it should be noted that the increase in workload was more pronounced for the Bull-Nose kerb type compared to the Full-Batter. For wheelchair users in particular this was primarily driven by the users perception that there was a greater potential risk that they would topple, tip or that the movement would cause significant vibration and hence pain and discomfort. This corresponds to the data shown for mental workload in Figure 3‑3 for Bull-Nose kerbs which is considerably higher than that of Full-Batter kerbs due to the vertical slope associated with Bull-Nose kerbs preventing an easier and smoother crossing than shallower kerb types.

Cycle Segregation Kerb

General

Participants experience with cycleways was explored as part of Phase 3. To continue this in Phase 4 a Cycle Segregation kerb was included in the testing.

A Cycle segregation kerb is a 205mm high by 290mm wide solid stone or concrete block with a 45 splay starting 129mm from the base. Cycle segregation kerbs are often double sided as show in Figure 3‑16. The full height of the kerb is not used as the upstand, only the exposed top 20mm – 50mm. The remaining height is beneath the surface and does not influence the experience of traversing the kerb.

Cycle Segregation kerbs are found in locations where the pavement on either side is the same level, where the kerb forms a raised dividing ridge between these two surfaces to assist in defining the space. Usually this arrangement is utilised to define the separation of a cycle track and conflicting carriageway of vehicular or pedestrian traffic. However, in this experiment the kerb was set up in a scenario where the pavement on one side was raised compared to the other. This arrangement was compatible with the experimental rig, allowing the kerb to fit safely in the cradle. The platform to the rear of the kerb was raised level to the top of the kerb while the platform at the front maintained a lower level to allow for the proposed movement. As in other tests the participants were asked to ascend and then descend the kerb and provide feedback.

TLX Results

From Figure 3‑17 and Table 3‑7 it can be seen that the Physical group found the highest kerb tested (50mm) required the highest workload (33, Intermediate workload). The 20mm and 25mm kerb heights were easier to traverse with similar reported workload scores (11, Medium workload and 9, Low workload respectively).

Both the Low and Medium Vision groups reported Intermediate levels of workload for the 20mm and 25mm kerb heights, the Low Vision group reported slightly higher workloads than the Moderate Vision group. Both groups found the 50mm height kerb easier to detect reporting an Intermediate workload score of 17.

The baseline control group reported a Low workload for all kerb heights.

Table 3 7: Cycle Segregation kerb profile overall perceived workload TLX ratings
Kerb PHYSICAL LOW VISION MODERATE VISION BASELINE
CS20 11 43 32 6
CS25 9 41 30 5
CS50 33 17 17 9
Figure 3 17: Cycle Segregation kerb overall perceived workload TLX rating results, as described in text above
Figure 3 17: Cycle Segregation kerb overall perceived workload TLX rating results

Qualitative Findings

Vision Group

Participant K3 (Low Vision) noted that 20mm upstand was quite low, flat, and not easily detectable. Participant K2 (Low Vision) agreed and stated that the 50mm kerb upstand height was easier to detect and traverse.

Participant K11 (Low Vision, cane) stated of the 50mm upstand:

“..it’s better than 20mm and 25mm…”

Physical Group

Participant K5 (Low Physical, wheelchair) noted that 25mm was easy to traverse, with a bit more effort required compared to the 20mm upstand. They noted that traversing this height was easier with the extended wheel, stating:

“25[mm] is a wee bit harder without my wheel – but its ok ,…” 

“It’s easier with the wheel than without but its ok…”

However, Participant K18 (Moderate Physical) felt that 25mm was too low and “not appropriate”. This was determined to be unrelated to the participants physical capability and more of a general comment on their perception of the kerb height being used in streetscaping in general.

At the 50mm upstand Participant K5 was unable to traverse the kerb, with or without the extended wheel.

Participant K5 (Low Physical, wheelchair) stated about the 50mm kerb upstand:

“No, I wouldn't even think about this. I think about it slightly …I see that as less of an issue than if it was vertical...”

“I wouldn't try and cross it at an angle...for some reason, it does seem that that angle helps. I'm not sure why, but it does seem to.”

Due to the kerb shape the participant found it difficult to dynamically assess whether the kerb would be traversable or not. This could lead the user misjudging the situation and coming into conflict with other user types.

Analysis

The quantitative and qualitative results suggest that the Low Vision group found the 20mm kerb upstand difficult to detect. They scored it a 43 (Intermediate) workload, equal highest with the 25mm Half-Batter kerb. Low Vision participants described the kerb at this upstand as ‘low and flat’.

Interestingly the 25mm upstand was preferred over the 20mm upstand by the Physical group, with some noting that the 20mm kerb felt too low. This is the only occasion where an increase in kerb upstand resulted in a decrease in workload for the Physical group, and the only occasion where either of the Vision or Physical groups rated a kerb as requiring a Low workload.

The Vision groups found the 20mm and 25mm heights to require an Intermediate workload, with the 25mm scoring marginally lower than the 20mm height. The participants felt both heights were too low.

However, at 50mm the workload levels reversed. The Low Visual participants finding the kerb a much lower workload, scoring amongst the lowest of the workloads they ranked. The workload reported by the Physical group participants increased to an Intermediate level, with the Low Physical group participants finding the kerb difficult and with one participant unable to traverse the kerb even whilst using the third wheel.

From the Qualitative and graphic results (above) we can conclude from this that there is evidence that for the Low Visual and Moderate Visual groups that the conspicuousness of this type of kerb greatly increased as the height of the kerb increased to 50mm upstand. This was the same for all participants independent of their visual aid or capability.

From the Qualitative and graphic results (above) we can conclude from this that there is evidence that for the Physical group that beyond 25mm upstand that the participants found this style of kerb more difficult to dynamically assess and cross if they were able to at all.